
什么是考研数学?数学在考研中内容多、难度大,国家统一命题。主要考察考生的比较系统地理解数学的基本概念和基本理论,掌握数学的基本方法,具备由象思维能力、逻辑推理能力、空间想象能力、运算能力和综合运用所学的知识分析问题和解决问题的能力。
研究生招生考试数学试卷分为3种:数学一、数学二、数学三。其中针对学门类的为数学一、数学二;济学和管理学门类的为数学三。
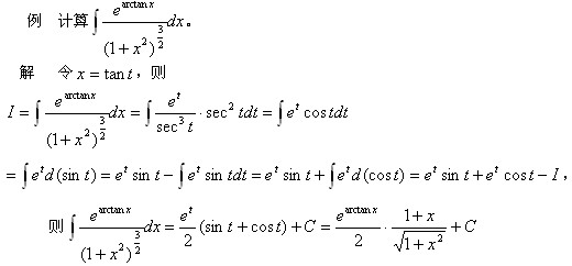
对于2021考研的考生来说,现在已经进入冲刺复习阶段,作为数学科目中比较重要的高等数学,大家一定不要忽视,这段时间更要把握住机会。

四川考研网相关推荐:
免责声明:本站所提供的内容均来源于网友提供或网络搜集,由本站编辑整理,仅供个人研究、交流学习使用,不涉及商业盈利目的。如涉及版权问题,请联系本站管理员予以更改或删除。






