
| 2019考研冲刺交流冲刺群 419327203 点击加入获取考前预测卷 |
| 点击关注“四川中公考研”新浪微博,与博主互动获取考研上名校技巧 |
| 点击关注“四川中公考研”微信公众号,第一时间获取新考研资讯 |
| 职业课协议班、周末面授班、寒假体验营、2019在职考研协议班、19考点预测白皮书领取 |



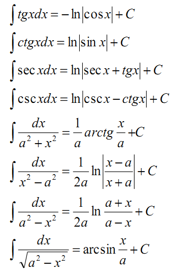
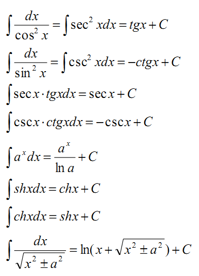
好数重点知识点比较多,要逐一击破!数学的复习需要稳扎稳打,掌握每一个重难点。以上为四川中公考研小编整理的"2020考研数学好数基础知识点:定积分"相关内容,预祝大家数学考试顺利!
免责声明:本站所提供的内容均来源于网友提供或网络搜集,由本站编辑整理,仅供个人研究、交流学习使用,不涉及商业盈利目的。如涉及版权问题,请联系本站管理员予以更改或删除。




