
| 2020考研择校择职业指导群 |
| 点击关注“四川中公考研”新浪微博,与博主互动获取考研上名校技巧 |
| 点击关注“四川中公考研”微信公众号,第一时间获取新考研资讯 |
| 职业课协议班、周末面授班、半年集训、暑期集训营 |
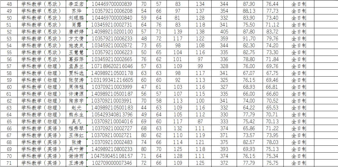
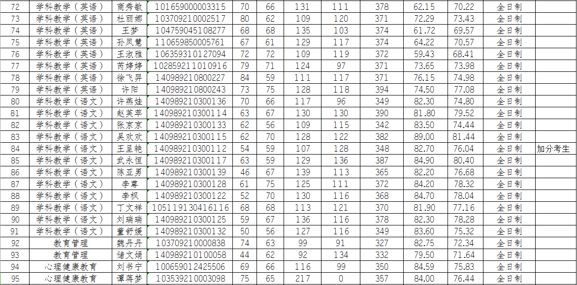
根据教育部和省考试院有关文件精神,按照《合肥师范学院2019年硕士研究生招生复试录取办法》要求,本着“公平、公正、公开”和“择优录取”的原则,经过初试、复试、政审、体检等环节,按总成绩由得分到低分确定拟录取名单。报经学校研究生招生工作领导组审定,确定拟录取日制教育硕士98人,非日制教育硕士17人(见下表)。 现予以公示,公示时间为10个工作日。公示期:2019年4月12日至4月25日。若对公示名单有异议,请于公示期内与合肥师范学院研究生处(0551-63676140)或纪委监察处(0551-63828650)联系。
合肥师范学院2019年硕士研究生招生拟录取名单






2019年4月12日
以上是四川中公考研小编为您整理的“合肥师范学院2019年硕士研究生拟录取名单公示",预祝每位考生取得好成绩,更多考研常识相关内容尽在四川中公考研报录比频道,中公考研为广大学子推出乐学面授课、VIP一对一等系列备考课程,针对每一个科目要点进行深入的指导分析,欢迎各位考生了解咨询。同时,中公考研一直为大家推出考研直播课堂,足不出户就可以边听课边学习,为大家的考研梦想助力!
免责声明:本站所提供的内容均来源于网友提供或网络搜集,由本站编辑整理,仅供个人研究、交流学习使用,不涉及商业盈利目的。如涉及版权问题,请联系本站管理员予以更改或删除。




