
问:什么是调剂?答:要调剂的人就是你没有上第一志愿的线但是上了国家线都可以调剂,当然有ABC区的分数限制。怎样复试看你选择调剂的学校了,招生专业目录上有参考。复试的话自己去找没有招满的学校,让它们同意你参加复试

概率论与数理统计是考研数学中尤其重要的一门,基础阶段大家也一定不要放松,持续备战方可战胜困难,下面c成都研究生招生信息网小编为大家整理概率论与数理统计相关内容,希望对各位考生有所帮助。
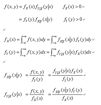
二维随机变量的条件分布部分公式

四川考研网相关推荐:
免责声明:本站所提供的内容均来源于网友提供或网络搜集,由本站编辑整理,仅供个人研究、交流学习使用,不涉及商业盈利目的。如涉及版权问题,请联系本站管理员予以更改或删除。




