
什么是考研数学?数学在考研中内容多、难度大,国家统一命题。主要考察考生的比较系统地理解数学的基本概念和基本理论,掌握数学的基本方法,具备由象思维能力、逻辑推理能力、空间想象能力、运算能力和综合运用所学的知识分析问题和解决问题的能力。
研究生招生考试数学试卷分为3种:数学一、数学二、数学三。其中针对学门类的为数学一、数学二;济学和管理学门类的为数学三。
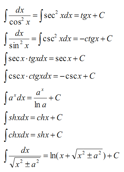
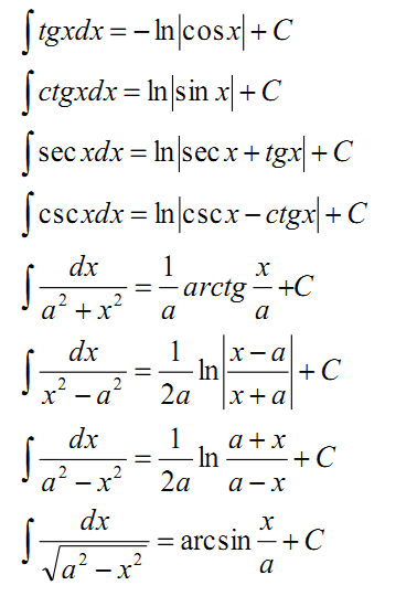
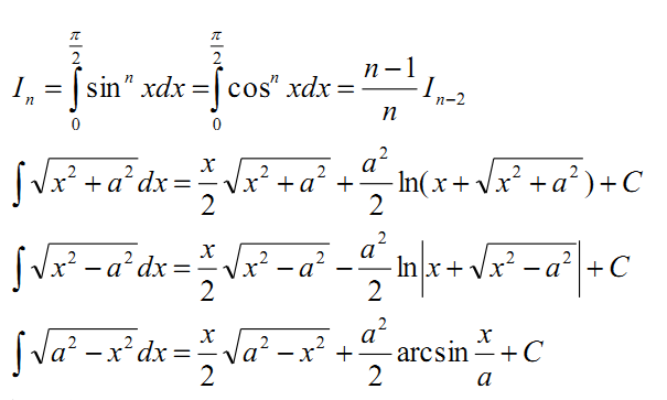
2022考研的考生现在已经进入基础备考阶段啦!一个良好的起跑点对于后期的复习备考至关重要,考研数学栏目为各位考生提供相关考研备战常识与资料,希望能对各位2022考研的考生有所帮助,一起来看哦。




以上是四川考研为考生整理的"2022考研高等数学基础备考:各类型积分公式"的相关内容,希望对大家有帮助,更多考研数学复习信息尽在四川考研数学频道!
四川考研网相关推荐:
免责声明:本站所提供的内容均来源于网友提供或网络搜集,由本站编辑整理,仅供个人研究、交流学习使用,不涉及商业盈利目的。如涉及版权问题,请联系本站管理员予以更改或删除。






