
嗨,2021的考研er们,研究路漫漫,加油我们一起成为优秀的人,做自己喜欢的事,付出终有回报,做出考研选择的你很勇敢,唯有中公与你作伴陪伴你一起走过这漫长的研途吧>>
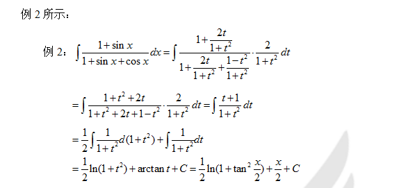
在不定积分的计算过程,我们学过了有理分式的计算,当然还能推广为更广泛的有理分式,比如三角有理式和指数有理式,这两种有理分式的不定积分计算在考研过程中出现频率也比较高,所以希望同学们能掌握系统的方法解决这类问题。


四川考研网相关推荐:
免责声明:本站所提供的内容均来源于网友提供或网络搜集,由本站编辑整理,仅供个人研究、交流学习使用,不涉及商业盈利目的。如涉及版权问题,请联系本站管理员予以更改或删除。






