
2021考研交流群总群
2021考研川师交流群
2021在职考研交流群
四川考研微信公众号
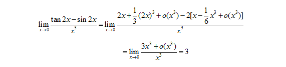
在考研数学中,利用等价无穷小替换或泰勒公式来计算极限是常考的考点。然而很多同学对于等价无穷小替换求解极限的运用不够灵活甚至常常犯错。究其原因主要有两个:一是学生平时努力不够,对于常见的等价无穷小没有准确记忆,并且对于此类求极限问题缺少练习;二是对于等价无穷小替换的实质还没有达到透彻的理解,使用的原则存在错记、混记的现象。比如练习时有这样的题目:



所以在求解极限问题的思路中利用泰勒公式比等价无穷小替换法则更一般、更普遍,在解决问题时往往倾向于接受和使用那些适用范围更广的思路和方法,关于等价无穷小替换和泰勒公式的使用,同学们要后期多加练习。
四川考研网相关推荐:
西南交通大学2021年硕士研究生招生新增专业、考试科目、参考书目拟调整方案
免责声明:本站所提供的内容均来源于网友提供或网络搜集,由本站编辑整理,仅供个人研究、交流学习使用,不涉及商业盈利目的。如涉及版权问题,请联系本站管理员予以更改或删除。




