
2021考研交流群总群
2021考研川师交流群
2021在职考研交流群
四川考研微信公众号
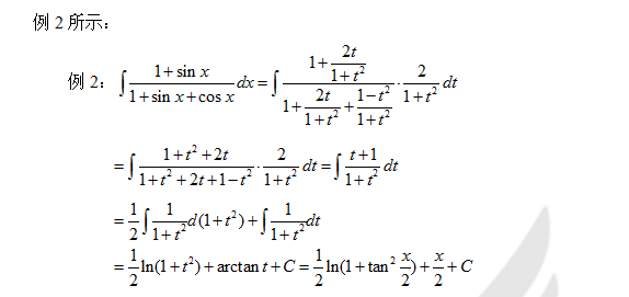
在不定积分的计算过程,我们学过了有理分式的计算,当然还能推广为更广泛的有理分式,比如三角有理式和指数有理式,这两种有理分式的不定积分计算在考研过程中出现频率也比较高,所以希望同学们能掌握系统的方法解决这类问题。

四川考研网相关推荐:
西南交通大学2021年硕士研究生招生新增专业、考试科目、参考书目拟调整方案
免责声明:本站所提供的内容均来源于网友提供或网络搜集,由本站编辑整理,仅供个人研究、交流学习使用,不涉及商业盈利目的。如涉及版权问题,请联系本站管理员予以更改或删除。




