
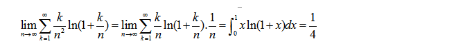
20数学考研:如何利用定积分的定义计算极限?


经过以上例题的讲解,同学们是不是对该类题目的答案呼之欲出了呢?只要掌握该公式的本质,相信计算出来不是一件难事。
免责声明:本站所提供的内容均来源于网友提供或网络搜集,由本站编辑整理,仅供个人研究、交流学习使用,不涉及商业盈利目的。如涉及版权问题,请联系本站管理员予以更改或删除。
二维码名片
来源:四川中公考研 2019-11-18



免责声明:本站所提供的内容均来源于网友提供或网络搜集,由本站编辑整理,仅供个人研究、交流学习使用,不涉及商业盈利目的。如涉及版权问题,请联系本站管理员予以更改或删除。

地址:武侯区科华北路62号力宝大厦3楼南区
电话:13408553731
地址:成都市双流区大件路文星段25号
电话:13683437962
地址:磨家校区双圣小区A区42栋2楼中公教育
电话: 08162296886
地址:西华大学西华记忆中国移动营业厅内
电话:19508124705
地址:川师成龙校区西门云立方附205中公教育
电话:19508170670
地址:四川旅游学院继续教育学院一层考研服务中心
电话:19508170670
地址:南充市顺庆区师大路华府丽都一单元10楼
电话:15583027321
地址:南门校园广场3楼A3-10
电话:15982307862
地址:成都市成华区民兴路830号理工东苑中公教育
电话:17711076409
地址:肖坝街道青衣路33号新业中心写字楼12楼中公教育2092298
电话:0833-2092298
地址:四川省成都市温江区南熏大道3段863号2楼
电话:19508173206
地址:宜宾市临港科教公元π二楼
电话:13716324244
地址:宜宾叙州区南岸重百新世纪百货13楼
电话:13716324244
地址:美乐广场一栋二楼中公教育
电话:17380142420
地址:吉利学院校内青春馆三楼(创新创业孵化中心)
电话:15283737083
地址:请拨打下方电话亲自来接
电话:15680688021
地址:成都文理学院国教楼1楼104办公室
电话:18981881686
地址:眉山市彭山区锦江大道1号四川大学锦江学院
电话:17381826465
地址:北京市海淀区学清路23号汉华世纪大厦B座
Copyright©1999-2016 北京中公教育科技有限公司.All Rights Reserved