dyjh365 

 

 二维码名片

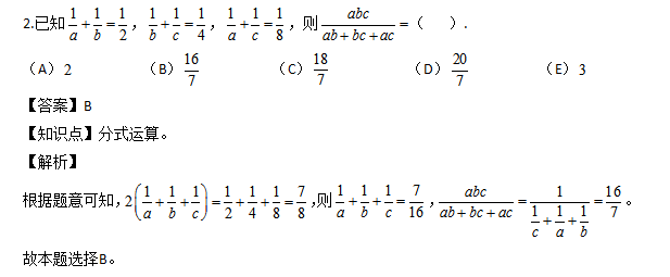
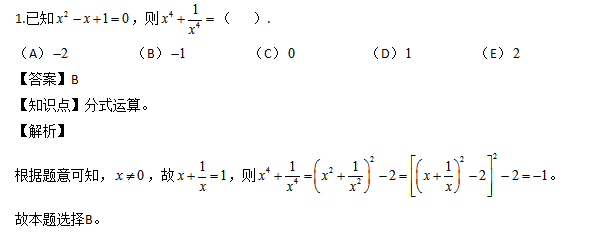
20数学考研☆考研数学-分式运算【每日一练】

来源:四川中公考研 2019-10-29

阅读全文

 免责声明:本站所提供的内容均来源于网友提供或网络搜集,由本站编辑整理,仅供个人研究、交流学习使用,不涉及商业盈利目的。如涉及版权问题,请联系本站管理员予以更改或删除。

分享到

下一篇:20数学考研☆考研数学解析几何【每日一练】


四川中公考研

成都市武侯区科华北路62号力宝大厦3楼南区

网址:sc.kaoyan365.cn

预约参观:加微信dyjh365

咨询时间

周一至周日 9:00-18:00 全年无休

  • 川大学习中心
  • 双流学习中心
  • 绵师学习中心
  • 郫县学习中心
  • 川师学习中心
  • 郫县学习中心
  • 南充学习中心
  • 川师学习中心
  • 理工学习中心
  • 乐山学习中心
  • 温江学习中心
  • 宜宾学习中心
  • 传媒学习中心
  • 简阳学习中心
  • 成大学习中心
  • 金堂学习中心
  • 彭山学习中心
  • 川大望江学习中心

    地址:武侯区科华北路62号力宝大厦3楼南区

    电话:13408553731

  • 双流学习中心

    地址:成都市双流区大件路文星段25号

    电话:13683437962

  • 绵师教学点

    地址:磨家校区双圣小区A区42栋2楼中公教育

    电话: 08162296886

  • 郫县教学点

    地址:西华大学西华记忆中国移动营业厅内

    电话:19508124705

  • 川师成龙教学点

    地址:川师成龙校区西门云立方附205中公教育

    电话:19508170670

  • 旅游学院教学点

    地址:四川旅游学院继续教育学院一层考研服务中心

    电话:19508170670

  • 南充西华师范大学教学点

    地址:南充市顺庆区师大路华府丽都一单元10楼

    电话:15583027321

  • 川师狮子山教学点

    地址:南门校园广场3楼A3-10

    电话:15982307862

  • 成都理工大学教学点

    地址:成都市成华区民兴路830号理工东苑中公教育

    电话:17711076409

  • 乐山成理工院教学点

    地址:肖坝街道青衣路33号新业中心写字楼12楼中公教育2092298

    电话:0833-2092298

  • 成都温江教学点

    地址:四川省成都市温江区南熏大道3段863号2楼

    电话:19508173206

  • 宜宾教学点

    地址:宜宾市临港科教公元π二楼

    电话:13716324244

  • 市区教学点

    地址:宜宾叙州区南岸重百新世纪百货13楼

    电话:13716324244

  • 成都传媒学院教学点

    地址:美乐广场一栋二楼中公教育

    电话:17380142420

  • 简阳教学点

    地址:吉利学院校内青春馆三楼(创新创业孵化中心)

    电话:15283737083

  • 成都大学教学点

    地址:请拨打下方电话亲自来接

    电话:15680688021

  • 成都金堂教学点

    地址:成都文理学院国教楼1楼104办公室

    电话:18981881686

  • 彭山教学点

    地址:眉山市彭山区锦江大道1号四川大学锦江学院

    电话:17381826465


关于中公考研| 电脑端| 网站地图| 返回首页

地址:北京市海淀区学清路23号汉华世纪大厦B座

Copyright©1999-2016 北京中公教育科技有限公司.All Rights Reserved

返回
顶部
 在线咨询  电话咨询  预约院校
 
 
择校预约
四川中公考研预约咨询:择校择专业 跨专业报考 个性化问题解答
获取验证码