
| 2020考研择校择职业指导群 |
| 点击关注“四川中公考研”新浪微博,与博主互动获取考研上名校技巧 |
| 点击关注“四川中公考研”微信公众号,第一时间获取新考研资讯 |
| 一对一择校择职业指导、周末面授班、半年集训、暑期集训营 |


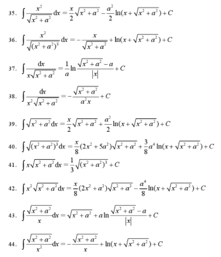
以上是四川中公考研小编为您整理的“2020考研数学好数基本积分公式六 ",预祝每位考生取得好成绩,更多考研常识相关内容尽在四川中公考研数学栏目,中公考研为广大学子推出乐学面授课、VIP一对一等系列备考课程,针对每一个科目要点进行深入的指导分析,欢迎各位考生了解咨询。同时,中公考研一直为大家推出考研直播课堂,足不出户就可以边听课边学习,为大家的考研梦想助力!

免责声明:本站所提供的内容均来源于网友提供或网络搜集,由本站编辑整理,仅供个人研究、交流学习使用,不涉及商业盈利目的。如涉及版权问题,请联系本站管理员予以更改或删除。




